Reflexní izolace Sunflex a jak je navrhovat do staveb
Použití reflexních fóliových izolací Sunflex s tepelněizolačními účinky je široké. Instalují se do střech, obvodových stěn a podlah, lze si vybrat parotěsnou nebo difúzně otevřenou fólii. Bývají doporučovány jako doplněk ke klasické izolaci, kde významně zlepšují její tepelněizolační funkci. Tento článek otevírá problematiku, jak účinky reflexních fólií popsat a využít při navrhování.
Výrobce fólií Sunflex, Tart, s.r.o., doporučuje vždy ponechat vedle reflexního povrchu fólie vzduchovou mezeru a stejně postupují i ostatní výrobci. Je zřejmé, že vzduchová mezera, v níž se na sdílení tepla významně podílí sálání, je důležitá. Tok tepla, který je uvnitř tuhého stavebního materiálu realizován vedením, se na povrchu přeruší. Jeho další šíření vzduchem je komplikovanější a odehrává se:
- vedením přes velmi špatný tepelný vodič, tedy vzduch,
- prouděním vzduchu, tedy přesunem ohřátého vzduchu,
- vyzařováním tepla v podobě elektro magnetických vln z povrchu materiálu.
Poslední složku, tzn. vyzařování (sálání, radiace), která je významná, zbrzdí nebo až zastaví reflexní fólie. Také proudění vzduchu lze téměř zastavit vhodným technickým opatřením. Horší je to s vedením tepla ve vzduchu. Proto se má obecně za to, že možnosti vzdušných izolací (což jsou i všechny běžné pěnové nebo vláknité izolace) končí u součinitele tepelné vodivosti vzduchu, λ = 0,0259 při 20 °C (Rochlovy tabulky).
Odpor při přestupu tepla na reflexním povrchu
Reflexní povrch fólií Sunflex odráží 90 % i více dopadajícího tepelného záření. Odborným jazykem to lze vyjádřit také tak, že tento povrch má vysoký odpor při přestupu tepla. Tento odpor má dvě paralelní složky, jedna se týká vedení a proudění tepla, druhá sálaní. Konkrétněji řekneme, že povrch reflexní folie má vysoký odpor při přestupu tepla při sálání. Pokusíme se tuto veličinu spočítat. Je totiž zřejmé, že si u reflexních fólií nevystačíme s běžnou normativní hodnotu 0,13 m2K/W na vnitřních stěnách, kde nefouká, a s hodnotou 0,04 m2K/W na fasádních stěnách, kde fouká.
Reflexe a emisivita
Osvěžíme si základní fyzikální východiska. Podle Planckova zákona (rok 1900) povrch každého tzv. černého tělesa širokospektrálně vyzařuje s intenzitou I, která je úměrná čtvrté mocnině termodynamické teploty:
kde σ = 5,67·10-8 W/(m2K4) je Stefanova - Boltzmannova konstanta a T = 273,15 + teplota ve °C je termodynamická teplota. Černé těleso se vyznačuje tím, že veškeré dopadající záření pohltí (absorbuje).
Většina těles ale není přísně vzato černá. Tím se myslí, že ne všechno záření, které na těleso dopadne, je tělesem pohlceno. Pokud, dejme tomu, těleso pohltí 60 % dopadajícího záření a 40 % odrazí, řekneme, že jeho pohltivost (absorbance) je a = 0,6 a odrazivost (reflektance) 0,4.
Aby se toto těleso ve stavu termodynamické rovnováhy trvale neochlazovalo, musí také méně vyzařovat - v našem příkladě přesně 60 % toho, co by vyzařovalo černé těleso. Jeho emisivita (sálavost) je tedy ε = 0,6 a číselně se rovná pohltivosti a. Integrální Planckův zákon pro šedé těleso má pak tvar:
Poznamenejme, že reflexní fólie mají e mi sivitu a pohltivost blízkou 0, ε = a → 0 a odrazivost blízkou jedné, r = 1 – ε → 1.
Vraťme se k přestupovým odporům. Uvažujme dvě rovnoběžné nekonečné plochy o teplotách T1 a T2 s emisivitami (pohltivostmi) ε1 = a1 a ε2 = a2 a odrazivostmi r1 = 1 – ε1 a r2 = 1 – ε2. Záření, které desky emitují, se cik-cak odráží mezi deskami. Matematický zápis tohoto děje vede ke dvěma nekonečným geometrickým řadám, jež dávají tento výsledek Planckova zákona pro sdílení tepla I mezi dvěma rovnoběžnými plochami:
Pro další úvahy zanedbáme nevýznamnou chybu, že stavební desky nejsou nekonečné.
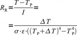
Přistupme konečně k formulaci přestupového odporu na povrchu fólie. Nechť termodynamická teplota fólie T a termodynamická teplota okolního prostředí TP. Okolní prostředí považujme za „desku”, která veškeré záření od fólie pohltí a zpět vrací záření odpovídající termodynamické teplotě okolí. Jeho emisivita se tedy rovná jedné, což odpovídá černému tělesu. Přestupový odpor při sálání potom můžeme vyjádřit rovnicí:
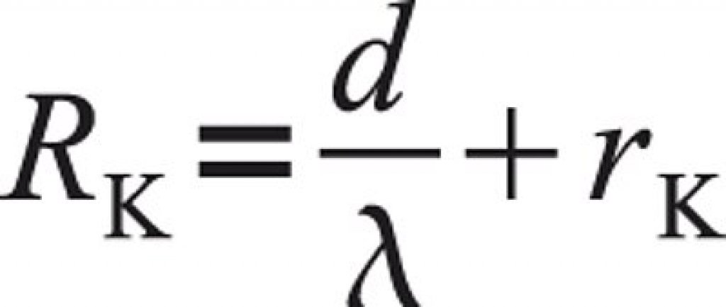
Přestupový odpor při vedení a proudění tepla je
kde d je tloušťka vzduchové vrstvy v sousedství fólie, kde vzniká teplotní gradient mezi prostorovou teplotou a povrchovou teplotou fólie, a λ je součinitel tepelné vodivosti vzduchu. Další člen rK vyjadřuje odpor při předávání tepla srážkami molekul vzduchu s atomy krystalové mříže na reflexním povrchu. Odborná veřejnost ho často pokládá za nulový, důkaz pro to zatím není. Odpory RR a RK fyzikálně působí vedle sebe (paralelně), a proto pro celkový přestupový odpor RC platí:
Příklady
Interiérová, nereflexní stěna má normativní hodnotu odporu při přestupu tepla RC = 0,13 m2K/W. Při teplotě 20 °C a emisivitě stěny ε = 0,95 je této hodnoty docíleno (pro rK = 0) při tloušťce d přestupové vzduchové vrstvy 12 mm. Na venkovní straně je normativ RC = 0,04 m2K/W docílen při d = 1,3 mm. Zmenšení tloušťky venku je dáno rychlostí větru.
V případě reflexní fólie s emisivitou ε = 0,1 dostaneme při stejné teplotě a tloušťce přestupové vzduchové vrstvy d = 11 mm hodnotu RC = 0,342 m2K/W, tedy téměř 3× větší. Z zkoušek samotných, hliníkem pokovených fólií, které provedla redakce, vyšly hodnoty nad RC až do 0,5 m2K/W. Vysvětlení je opět v pohybu vzduchu: v dokonale nehybném vzduchu sahá RC → 1,75 m2K/W. Na rozdíl od klasického tepelného odporu je odpor RC závislý na teplotě.
